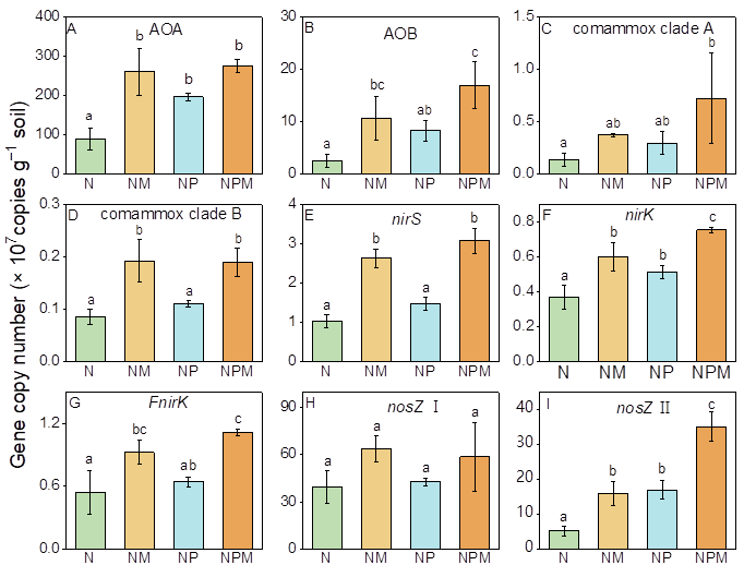
氧化亚氮(N2O)是一种强效温室气体,农业土壤是其最重要的排放源之一。近年来,有机肥部分替代化肥被视为一种可持续的施肥措施,但其对N2O排放的影响存在争议,尤其在亚热带普遍缺磷的酸性土壤中,其作用机制尚不清楚。我院团队依托中国科学院鹰潭红壤生态实验站21年的长期定位试验,利用15N同位素示踪和DNA稳定同位素探针技术,系统研究了粪肥替代在不同养分条件下对N2O排放的影响及微生物机制。研究发现:在单施氮肥的条件下,粪肥替代使N2O排放增加30%;而在氮磷配施条件下,粪肥替代使N2O排放显著降低22%。这种截然相反的结果源于氮转化过程的差异:单施氮肥时,粪肥替代刺激了自养硝化和反硝化作用;而在氮磷配施下,粪肥替代通过降低异养硝化对N2O的贡献,并伴随nosZ II型基因丰度增加,从而减少了N2O排放。
该研究揭示了磷有效性在调控粪肥替代对N2O排放效应中的关键作用,强调了评估有机肥环境效应时必须考虑养分限制条件。这一成果为在实际农业生态系统中合理利用粪肥、实现温室气体减排与农业可持续发展提供了重要科学依据,为未来实现农业生产与环境保护的协同发展提供参考。
研究成果以“Divergent impacts of partial manure substitution on soil nitrous oxide emissions dependent on phosphorus availability”为题,发表在国际土壤学著名期刊Soil Biology and Biochemistry上。OD官网为第一通讯单位,团队2024级博士生成于恒为第一作者,林永新研究员为通讯作者。该研究得到了国家自然科学基金面上项目和福建省优秀青年基金项目资助。

图1 粪肥替代对氮转化过程和N2O排放影响概念图

图2 氮循环功能基因丰度
原文链接:https://doi.org/10.1016/j.soilbio.2025.109975
(地理科学学院)
