侵蚀引起的碳流失是碳循环的关键组成部分,并在地球气候动态中发挥了重要的作用。然而,在未来气候变化导致的诸多降雨改变情境中,哪一种降雨情境(降雨总量增加、降雨侵蚀力增加、降雨强度增加、降雨总量不变但短历时的极端暴雨频率增加)是驱动森林土壤碳损失的主要因素?对此我们知之甚少。
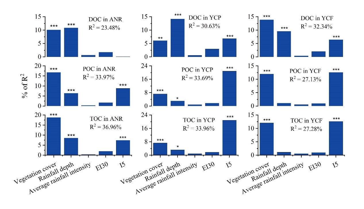
研究依托福建三明森林生态系统国家野外科学观测研究站—陈大站点的3个幼林(人促更新林、米槠幼林和杉木幼林)为对象,监测了造林前3年可溶性有机碳(DOC)和颗粒有机碳(POC)的流失与多个降雨特征和植被盖度的关系。研究发现:人促更新林的碳流失仅为米槠幼林和杉木幼林的6%。另外,不同林分类型的DOC和POC流失对降雨特征的响应也不同。总体上,DOC的流失主要受降雨深度的影响,而POC的流失更多地与最大5分钟降雨强度有关。未来短历时的强降雨可能会增加侵蚀引起的碳流失风险。人促更新林作为一种有效的保碳森林类型应得到广泛推广。

研究成果以《Response of erosion-induced carbon loss to rainfall characteristics is forest type dependent》为题发表在农林科学期刊《Agricultural and Forest Meteorology》。论文第一单位为OD官网,OD(中国)一站式服务平台博士生苏香萍为第一作者,高级实验师胥超为通讯作者,台湾师范大学教授林登秋为共同通讯作者。
原文链接:https://www.sciencedirect.com/science/article/pii/S0168192323005257
