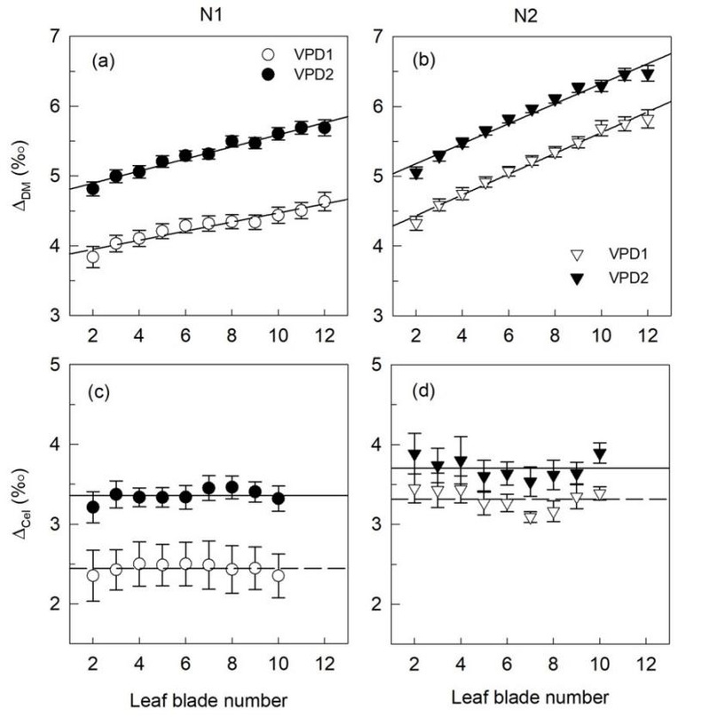
The carbon isotope composition (δ13C) in the terrestrial ecosystem is of great significance to the studies on climate change, physiological status of plants, ecosystem productivity, etc. However, how post-photosynthetic fractionation influences δ13C during organic matter synthesis, metabolism and translocation remains uncertain.
The research team targeted Cleistogenes squarrosa, a perennial C4 grass, and conducted a two-factor interaction experiment in controlled experiments with different levels of vapour pressure deficit and nitrogen supply. The differences in δ13C of leaf bulk organic matter and cellulose revealed post-photosynthetic fractionation effects of progressively depleted 13C with leaf age classes. The research team also modeled the leaf carbon flux and post-photosynthetic fractionation, attributed to fractionation effects caused by respiration and photosynthate output. Considering that young mature leaves and cellulose are less affected by post-photosynthesis fractionation effect and have consistent environmental response characteristics, the authors suggest that young mature leaves or cellulose should be used as research materials in related studies, and that the potential influence of leaf age effect should be paid attention to during sampling.
The research results, titled “δ13C of bulk organic matter and cellulose reveal post-photosynthetic fractionation during ontogeny in C4 grass leaves,” were published in Journal of Experimental Botany, a top international academic journal. FNU is the first affiliation of the paper, with Yu Yongzhi, a master student of FNU, as the first author and Gong Xiaoying, a research fellow, as the corresponding author. The work was supported by the General Program of the National Natural Science Foundation of China, the Key Program for International (Regional) Cooperation and the Program of Deutsche Forschungsgemeinschaft (DFG).
Paper Link: https://doi.org/10.1093/jxb/erad445

(Translated by Wang Ye/ Reviewed by Xie Xiujuan)
